acousticTS implementation
These pages are rooted in exact spheroidal-coordinate separations and later fisheries-acoustics use of prolate-spheroid models (Spence and Granger 1951; Furusawa 1988).
The acousticTS package uses object-based scatterers so the same
implementation pattern carries across models: create a scatterer, run
target_strength(), inspect the stored model output, and
then compare a small set of physically important inputs. For PSMS, the
main additional choices are the boundary condition, the incident roll
angle phi_body, and the numerical settings that control how
the retained spheroidal system is actually evaluated.
That last point is especially important for PSMS. Unlike some of the simpler modal models, the prolate spheroidal calculation can make numerical settings part of the practical interpretation of the run. The geometry and material properties still define the target, but convergence-related controls help determine how faithfully the truncated spheroidal system has been solved.
Prolate spheroid object generation
library(acousticTS)
prolate_shape <- prolate_spheroid(
length_body = 40e-3,
radius_body = 4e-3,
n_segments = 100
)
prolate_object <- fls_generate(
shape = prolate_shape,
density_body = 1045,
sound_speed_body = 1520,
theta_body = pi / 2
)
prolate_object## FLS-object
## Fluid-like scatterer
## ID:UID
## Body dimensions:
## Length:0.04 m(n = 100 cylinders)
## Mean radius:0.0031 m
## Max radius:0.004 m
## Shape parameters:
## Defined shape:ProlateSpheroid
## L/a ratio:10
## Taper order:N/A
## Material properties:
## Density: 1045 kg m^-3 | Sound speed: 1520 m s^-1
## Body orientation (relative to transducer face/axis):1.571 radians
This object setup is doing more than creating an elongated target. It is declaring that a prolate spheroid is the intended geometric idealization. That is a stronger statement than simply saying the object is elongated. A reader should use PSMS when the prolate spheroidal geometry itself is physically meaningful, not merely when a target looks somewhat longer than it is wide.
Calculating a TS-frequency spectrum
frequency <- seq(38e3, 120e3, by = 8e3)
prolate_object <- target_strength(
object = prolate_object,
frequency = frequency,
model = "psms",
boundary = "liquid_filled",
phi_body = pi,
n_integration = 96,
simplify_Amn = TRUE
)This example chooses the fluid-filled boundary because it shows the
most demanding PSMS workflow. The boundary argument
determines the physical interface conditions, phi_body
controls the roll orientation used in the spheroidal geometry, and
n_integration together with simplify_Amn
affects how the coupled fluid-filled system is evaluated
numerically.
For PSMS, boundary = "liquid_filled" and
boundary = "gas_filled" use the same penetrable-interface
formulation. The difference is not a separate boundary equation. It is
the material contrast carried by the scatterer object itself: an
FLS object supplies liquid-like body properties, while a
GAS object supplies gas-like body properties. In that
sense, the two options are best read as liquid-filled and gas-filled
instantiations of the same underlying penetrable PSMS problem. In the
current implementation, however, the public gas-filled path is routed
onto the simplified penetrable formulation because that is the branch
that stays externally consistent on the published benchmark
geometry.
For rigid and pressure-release boundaries, the PSMS bookkeeping is simpler because the modal coefficients remain effectively diagonal by retained degree. For fluid-filled runs, the numerical settings deserve more attention because the overlap integrals and dense solves are part of the practical calculation.
If precision = "quad" is requested, the main practical
warning is cost. Quad
precision remains substantially slower than double precision because
the spheroidal functions, overlap integrals, and kernel matrices all
grow quickly with acoustic size. That is true for every PSMS boundary,
and it is especially important for the full liquid-filled solve and for
the externally benchmarked gas-filled simplified branch.
The implementation reduces some of that burden by batching spheroidal-function calls over blocks of m, reusing the incident angular matrix to construct the backscatter angular matrix through parity, and avoiding unnecessary rectangular expansions of triangular modal data. Even with those savings, high-ka PSMS sweeps in quad precision can take a very long time.
That means precision = "quad" should be read as a tool
for difficult cases, not as a universal default. It is most useful when
the double-precision solution shows visible instability at higher modal
limits or when benchmark agreement deteriorates at larger reduced
frequencies. When the double-precision and quadruple-precision curves
already agree to within the scientific tolerance of interest, the faster
double-precision path is usually the more practical choice.
Adaptive mode
The adaptive argument is the main switch that separates
a fully literal retained-mode evaluation from a more pragmatic
backscatter evaluation. The important point is that
adaptive = TRUE does not redefine the PSMS mathematics. It
changes how aggressively the implementation is allowed to stop once the
retained modal tail has already become numerically inactive [(Press_2007?);
DLMF:ch1; DLMF:ch3].
The hard modal limits remain the same in both modes. The initialization step still defines:
m_{\max} = \left\lceil 2 k_0 b \right\rceil, and:
n_{\max} = m_{\max} + \left\lceil \frac{h_0}{2} \right\rceil.
When adaptive = FALSE, those limits are carried through
literally. When adaptive = TRUE, they are treated as upper
bounds. The code is then allowed to stop early only if the tail is both
small and flattening out, rather than continuing all the way to those
caps by default.
That adaptive logic operates in three layers.
For the full liquid-filled backscatter solve,
adaptive = TRUEowns the overlap quadrature order internally. In that path, a user-suppliedn_integrationis ignored on purpose. The implementation uses the retained modal ceilings themselves as the main difficulty scale, with a smaller bonus from the larger of |\chi_1| and |\chi_2|. Lower modal difficulty therefore gets fewer quadrature nodes, while harder runs climb toward the same hard cap used by the literal path. This makes the quadrature rule general to the retained PSMS problem rather than tied to one particular example geometry.Inside each retained azimuthal order m, the backscatter evaluators monitor the sizes of successive modal terms in n. The code only stops the inner tail if the current term remains below a numerical cutoff and its magnitude gradient relative to the previous term has also flattened. In other words, the rule is not “small enough once.” It is “small enough and no longer recovering.”
Across m, the same idea is applied to whole m-band contributions. Several successive m-bands must be both negligible and gradient-flat before the outer tail is stopped. This is what allows
adaptive = TRUEto matter not only forliquid_filledandgas_filled, but also forfixed_rigidandpressure_release.
For the full liquid-filled backscatter path, there is one additional adaptive step before the dense system is even built for a given m. The code forms a cheap proxy from the angular and radial factors and uses that proxy to decide whether the far tail in n is already inactive. If it is, the expensive overlap and kernel system is only built for the shorter active part of the retained degree range.
The cutoffs themselves are precision-aware. The relative tolerance
used in the modal-tail checks remains tighter in quadruple precision
than in double precision, and an absolute floor is also enforced so that
the adaptive rule remains meaningful even when the accumulated sum is
very small. This is why adaptive = TRUE should be read as a
convergence-aware shortcut rather than as a looser approximation.
Two practical consequences follow from that design. First,
adaptive = TRUE is most useful for backscatter spectra,
which are the main PSMS workflow exposed by the package. Second, the
runtime gain is usually largest for the full fluid and gas problems,
because that is where early tail trimming can also reduce the size of
the dense per-m systems rather than
only the final modal summation.
The safest way to use the switch is:
- leave
adaptive = FALSEwhen reproducing a benchmark or performing a strict convergence study, - use
adaptive = TRUEwhen you want a faster exploratory backscatter sweep, - and then compare the two if the high-ka part of the spectrum will be interpreted closely.
The code below shows the two usage patterns explicitly.
# Literal hard-cap evaluation
obj_literal <- target_strength(
object = prolate_object,
frequency = frequency,
model = "psms",
boundary = "liquid_filled",
phi_body = pi,
adaptive = FALSE,
n_integration = 96,
simplify_Amn = FALSE,
precision = "quad"
)
# Adaptive backscatter evaluation
obj_adaptive <- target_strength(
object = prolate_object,
frequency = frequency,
model = "psms",
boundary = "liquid_filled",
phi_body = pi,
adaptive = TRUE,
simplify_Amn = FALSE,
precision = "quad"
)In the second call, n_integration is omitted on purpose.
For the full liquid-filled PSMS solve, adaptive = TRUE
chooses the quadrature order internally from the retained modal
difficulty and ignores a user-supplied n_integration. The
public gas-filled path currently uses the simplified penetrable
formulation instead, so it does not take that adaptive quadrature
branch.
Benchmark comparisons
The PSMS implementation is easiest to interpret when the main
numerical switches are compared directly against the published benchmark
geometry. For fixed_rigid, pressure_release,
and liquid_filled, the summary below uses the bundled
benchmark_ts data (Jech et al. 2015; Macaulay and contributors 2024).
For gas_filled, the same 140 x 10 mm broadside
prolate geometry is run directly, but the external reference are
predictions from a boundary element method (BEM) model (Betcke and Scroggs
2021).
Three coverage details matter when reading the numbers:
-
fixed_rigidandpressure_releasebenchmark values are only available at12, 18, 38, 70 kHz. - In Table III from Jech et al. (2015),
NBis defined as “no benchmark.” Instead, the gas-filled prolate spheroid was benchmarked against a BEM model at12, 38, 70, 120 kHz. - The liquid-filled benchmark has values at
12, 18, 38, 70, 120, 200, 250, 300, 400 kHz, but not at333 kHz.
The reported \Delta values are therefore computed only where validated benchmark values exist.
Benchmark summary
| Boundary | Precision | adaptive |
n_integration |
Max abs. \Delta TS (dB) | Mean abs. \Delta TS (dB) |
|---|---|---|---|---|---|
fixed_rigid |
double |
FALSE |
96 |
0.00674 | 0.00230 |
fixed_rigid |
double |
TRUE |
0.00674 | 0.00230 | |
fixed_rigid |
quad |
FALSE |
96 |
0.00096 | 0.00083 |
fixed_rigid |
quad |
TRUE |
0.00096 | 0.00083 | |
pressure_release |
double |
FALSE |
96 |
0.00412 | 0.00251 |
pressure_release |
double |
TRUE |
0.00412 | 0.00251 | |
pressure_release |
quad |
FALSE |
96 |
0.00433 | 0.00293 |
pressure_release |
quad |
TRUE |
0.00433 | 0.00293 |
| Precision | simplify_Amn |
adaptive |
n_integration |
Max abs. \Delta TS (dB) | Mean abs. \Delta TS (dB) |
|---|---|---|---|---|---|
double |
FALSE |
FALSE |
96 |
8.67114 | 1.53575 |
double |
FALSE |
TRUE |
17.34265 | 4.59850 | |
double |
TRUE |
FALSE |
96 |
7.18195 | 2.22574 |
double |
TRUE |
TRUE |
7.18195 | 2.22574 | |
quad |
FALSE |
FALSE |
96 |
0.08263 | 0.02805 |
quad |
FALSE |
TRUE |
0.08348 | 0.02806 | |
quad |
TRUE |
FALSE |
96 |
3.65223 | 1.46801 |
quad |
TRUE |
TRUE |
3.65223 | 1.46801 |
Several practical points follow from this comparison.
- For
fixed_rigidandpressure_release, both precisions remain benchmark-close over the frequencies for which benchmark values are available, and the adaptive early-stop logic does not materially change those benchmark \Delta values on this short grid. - When
adaptive = FALSE, the model keeps the literal fixedn_integration = 96default. Whenadaptive = TRUE, the table leaves that cell blank because the adaptive path no longer treats quadrature order as a user-fixed input. -
simplify_Amnonly affects the fluid or gas PSMS solve, so that column is blank forfixed_rigidandpressure_release. - For liquid-filled PSMS, the full formulation with
simplify_Amn = FALSEandprecision = "quad"remains the only configuration in this table that stays benchmark-close through the higher-frequency benchmark range. - The simplified gas-filled prolate spheroid model tracks closely with
the BEM predictions. That behavior is exactly why
simplify_Amnis currently better suited for gas-filled PSMS. The gas interior creates an extreme-contrast fluid problem, and the present dense overlap-coupled full gas solve becomes numerically unstable there. The simplified branch removes the unstable off-diagonal coupling and, for this benchmark geometry, is the one that agrees withBEMandFEMpredictions, as well as external software references (Khodabandeloo et al. 2025). In the current public implementation, requests for the full gas-filled branch are therefore routed onto this simplified formulation. - The adaptive liquid-filled path is useful in quad precision, but it
is not universally beneficial. In particular, the
precision = "double",simplify_Amn = FALSE,adaptive = TRUEcombination drifts much farther from benchmark on this grid than the literal double-precision run. - The largest liquid-filled deviations occur in deep null
neighborhoods, where small phase or truncation differences can produce
visibly larger
TSdifferences in dB than they would on a linear scattering-amplitude scale.
The summary statistics are helpful, but they still compress where the differences actually occur. For the main liquid-filled benchmark configuration, the frequency-specific comparison is:
| Frequency (kHz) | Benchmark TS (dB) | Literal TS (dB) | Adaptive TS (dB) | Adaptive n_integration
|
Literal \Delta TS (dB) | Adaptive \Delta TS (dB) |
|---|---|---|---|---|---|---|
| 12 | -87.05 | -87.05331 | -87.05331 | 32 | -0.00331 | -0.00331 |
| 18 | -81.19 | -81.19965 | -81.19965 | 32 | -0.00965 | -0.00965 |
| 38 | -77.17 | -77.20046 | -77.20046 | 32 | -0.03046 | -0.03046 |
| 70 | -76.92 | -76.95042 | -76.95042 | 32 | -0.03042 | -0.03042 |
| 120 | -80.58 | -80.55970 | -80.55951 | 32 | 0.02030 | 0.02049 |
| 200 | -89.31 | -89.39263 | -89.39348 | 48 | -0.08263 | -0.08348 |
| 250 | -79.39 | -79.42879 | -79.42819 | 56 | -0.03879 | -0.03819 |
| 300 | -77.52 | -77.51659 | -77.51653 | 64 | 0.00341 | 0.00347 |
| 333 | NA |
-76.90684 | -76.90677 | 72 | NA |
NA |
| 400 | -78.41 | -78.44349 | -78.44309 | 88 | -0.03349 | -0.03309 |
That table compares the literal run adaptive = FALSE,
n_integration = 96 against the adaptive run
adaptive = TRUE, which selects the quadrature order
internally. The largest differences occur near deeper nulls, which is
why the absolute TS deltas can look more dramatic than the
underlying linear-amplitude mismatch would suggest.
Double- versus quadruple-precision drift
The benchmark table already shows that the full liquid-filled PSMS
solve can separate materially between precision = "double"
and precision = "quad" once the acoustic size grows. A
direct way to see that is to hold every other setting fixed and then
plot the double - quad difference against the reduced size
parameter k_0 b, where b is the spheroid minor
radius.
precision_freq <- c(12e3, 18e3, 38e3, 70e3, 100e3)
precision_obj <- fls_generate(
shape = prolate_spheroid(
length_body = 0.14,
radius_body = 0.01,
n_segments = 80
),
theta_body = pi / 2,
density_body = 1028.9,
sound_speed_body = 1480.3
)
precision_double <- target_strength(
object = precision_obj,
frequency = precision_freq,
model = "psms",
boundary = "liquid_filled",
phi_body = pi,
adaptive = FALSE,
precision = "double",
simplify_Amn = FALSE,
n_integration = 96,
density_sw = 1026.8,
sound_speed_sw = 1477.3
)
precision_quad <- target_strength(
object = precision_obj,
frequency = precision_freq,
model = "psms",
boundary = "liquid_filled",
phi_body = pi,
adaptive = FALSE,
precision = "quad",
simplify_Amn = FALSE,
n_integration = 96,
density_sw = 1026.8,
sound_speed_sw = 1477.3
)
precision_df <- data.frame(
frequency = precision_freq,
k0b = 2 * pi * precision_freq * 0.01 / 1477.3,
double_ts = precision_double@model$PSMS$TS,
quad_ts = precision_quad@model$PSMS$TS
)
precision_df$delta_ts <- precision_df$double_ts - precision_df$quad_ts
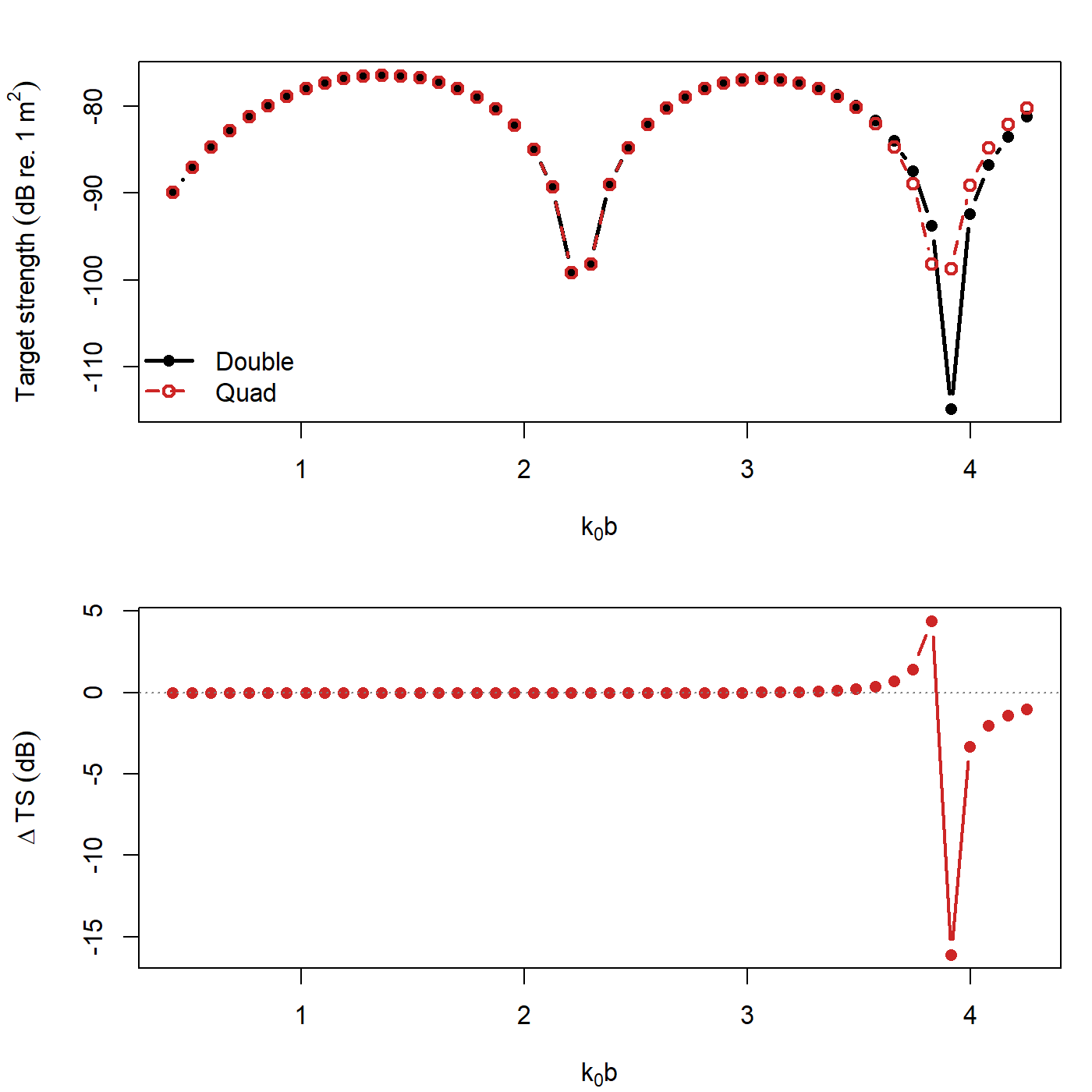
For this full liquid-filled run, the double- and quadruple-precision
curves are effectively indistinguishable through k_1 b < 1, differ by only about
1.4e-07 dB at 38 kHz, then separate to about
0.01 dB by 70 kHz (k_1 b \approx 2.98) and to about
1.02 dB by 100 kHz (k_1 b \approx 4.25). That is the practical
reason the benchmark table above starts to favor quadruple precision
once the retained PSMS system moves into the higher-frequency penetrable
regime.
Representative runtime
Absolute runtime depends strongly on the local machine, compiler, BLAS/LAPACK setup, and background system load, so the values below should be read as representative timings rather than portable expectations. These runs were recorded on:
- Windows 10 Home
- AMD Ryzen 5 5600XT 6-Core Processor (
6physical cores,12logical processors) -
32 GBRAM - R
4.5.2(x86_64-w64-mingw32,ucrt) g++
For fixed_rigid, pressure_release,
gas_filled, and liquid_filled, the timed
frequency grid was the same one used in the benchmark table:
12,\; 18,\; 38,\; 70,\; 120,\; 200,\; 250,\; 300,\; 333,\; 400\ \text{kHz}.
For gas_filled, these timings use the same published
140 x 10 mm broadside benchmark geometry discussed above
rather than the shorter bundled fixture run.
Runtime summary
| Boundary | Precision | adaptive |
n_integration |
Elapsed time (s) |
|---|---|---|---|---|
fixed_rigid |
double |
FALSE |
96 |
0.20 |
fixed_rigid |
double |
TRUE |
0.14 | |
fixed_rigid |
quad |
FALSE |
96 |
13.61 |
fixed_rigid |
quad |
TRUE |
13.53 | |
pressure_release |
double |
FALSE |
96 |
0.14 |
pressure_release |
double |
TRUE |
0.14 | |
pressure_release |
quad |
FALSE |
96 |
13.38 |
pressure_release |
quad |
TRUE |
13.36 |
| Precision | simplify_Amn |
adaptive |
n_integration |
Elapsed time (s) |
|---|---|---|---|---|
double |
FALSE |
FALSE |
96 |
0.47 |
double |
FALSE |
TRUE |
0.41 |
|
double |
TRUE |
FALSE |
96 |
0.40 |
double |
TRUE |
TRUE |
0.38 |
|
quad |
FALSE |
FALSE |
96 |
16.92 |
quad |
FALSE |
TRUE |
16.67 |
|
quad |
TRUE |
FALSE |
96 |
16.83 |
quad |
TRUE |
TRUE |
16.90 |
| Precision | simplify_Amn |
adaptive |
n_integration |
Elapsed time (s) |
|---|---|---|---|---|
double |
FALSE |
FALSE |
96 |
1.81 |
double |
FALSE |
TRUE |
1.31 | |
double |
TRUE |
FALSE |
96 |
0.18 |
double |
TRUE |
TRUE |
0.15 | |
quad |
FALSE |
FALSE |
96 |
59.66 |
quad |
FALSE |
TRUE |
48.33 | |
quad |
TRUE |
FALSE |
96 |
14.75 |
quad |
TRUE |
TRUE |
14.56 |
The practical interpretation is straightforward:
- The rigid and pressure-release PSMS paths are comparatively cheap, even in quadruple precision, because they avoid the dense overlap-driven fluid solve.
- The full liquid-filled solve with
simplify_Amn = FALSEis still by far the most expensive configuration in this benchmark set. - The gas-filled benchmark shape is no longer cheap once the published geometry is used, especially in quadruple precision.
- The gas-filled runtime split is therefore diagnostic:
simplify_Amn = TRUEis not just faster, it is the gas branch that is both stable and externally consistent on the benchmark geometry. In the current public implementation, rows withsimplify_Amn = FALSEare routed onto that same simplified formulation, so their benchmark deltas now match and their runtime differences reduce to small wrapper overhead rather than different core solves. - The adaptive liquid-filled path is faster because it combines a smaller modal-content-based quadrature rule at lower reduced frequency with more aggressive n- and m-tail termination inside the backscatter assembly.
- On this machine and grid, that reduces the full liquid-filled quad
run from about
59.7 sto about48.3 swithout materially changing benchmark agreement. - The same statement is not automatically true in double precision: the adaptive full liquid-filled double run is faster here, but the benchmark table above shows that it also drifts much farther from the benchmark curve.
- In this adaptive liquid-filled quad comparison, the internally
selected quadrature orders were
32, 32, 32, 32, 32, 48, 56, 64, 72, 88; that sequence is shown in the frequency-by-frequency table above because it is an internal implementation detail, not a user-specified input.
Cross-software implementation checks
Beyond the published benchmark curves, it is also useful to check
whether the same prolate spheroid definitions produce comparable spectra
in other locally available implementations. The liquid-filled and
rigid/pressure-release checks below use the shared
12, 18, 38, 70, 100 kHz frequency set so that the
cross-software comparison reaches more informative reduced frequencies
while still remaining computationally manageable. The gas-filled
comparison is summarized separately because the most informative current
check is the published benchmark geometry run directly against live
outputs from Prol_Spheroid (Khodabandeloo et al. 2025)
and echoSMs (Macaulay and contributors
2024).
Prol_Spheroid only treats penetrable prolate spheroids,
so its cells are N/A for fixed_rigid and
pressure_release. The original and vectorized
Prol_Spheroid branches are split below because their
numerical agreement is nearly identical while their runtimes are
not.
Cross-software summary
| Case | Frequency set (kHz) | Max abs. \Delta TS | Mean abs. \Delta TS (dB) |
|---|---|---|---|
fixed_rigid |
12, 18, 38, 70, 100 |
0.49692 |
0.10091 |
pressure_release |
12, 18, 38, 70, 100 |
0.08619 |
0.01757 |
liquid_filled |
12, 18, 38, 70, 100 |
1.01676 |
0.20537 |
| Case | Frequency set (kHz) | Max abs. \Delta TS (dB) | Mean abs. \Delta TS (dB) | Max abs. \Delta TS vs vectorized (dB) | Mean abs. \Delta TS vs vectorized (dB) |
|---|---|---|---|---|---|
fixed_rigid |
12, 18, 38, 70, 100 |
N/A |
N/A |
N/A |
N/A |
pressure_release |
12, 18, 38, 70, 100 |
N/A |
N/A |
N/A |
N/A |
liquid_filled |
12, 18, 38, 70, 100 |
0.00128 |
0.00055 |
0.00128 |
0.00055 |
| Case | Frequency set (kHz) | t_\text{acousticTS} (s) | t_\text{echoSMs} (s) | t_\text{Prol\_Spheroid} (s) | t_\text{Prol\_Spheroid-vectorized} (s) |
|---|---|---|---|---|---|
fixed_rigid |
12, 18, 38, 70, 100 |
0.86 |
0.34 |
N/A |
N/A |
pressure_release |
12, 18, 38, 70, 100 |
0.93 |
0.33 |
N/A |
N/A |
liquid_filled |
12, 18, 38, 70, 100 |
2.72 |
48.02 |
48.65 |
11.06 |
These checks are informative in a more mixed way once 70
and 100 kHz are included. The penetrable liquid-filled case
remains extremely close to the independent Prol_Spheroid implementation
in both branches, with a maximum absolute difference of only
0.00128 dB over the full five-frequency set. The more
interesting difference there is computational rather than acoustic: the
vectorized branch reduces the liquid-filled runtime from about
48.65 s to 11.06 s on this machine while
returning the same agreement to the displayed precision.
By contrast, the shared echoSMs::PSMSModel
comparison begins to separate at the higher two frequencies, especially
for the penetrable cases: the liquid-filled difference reaches about
1.02 dB at 100 kHz. The gas-filled comparison
is summarized separately below because the current implementation story
there is not “another representative case ladder.” It is the benchmark
geometry itself and the fact that the simplified gas branch is the only
one that presently stays stable and externally consistent.
Gas-filled cross-software comparison
The gas-filled PSMS path is summarized here on the published
benchmark geometry itself: L = 140 mm,
a = 10 mm, theta_body = 90 deg,
phi_body = pi, density_body = 1.24 kg m^-3,
and sound_speed_body = 345 m s^-1. The frequency set is the
external-reference overlap 12, 18, 38, 70, 120, 200 kHz.
The table below compares the stable benchmark-shape gas runs against
live vectorized Prol_Spheroid outputs. The
acousticTS elapsed values were recomputed on exactly this
six-frequency grid. In the current public implementation, requests for
the full gas-filled branch are routed onto the same simplified
penetrable formulation used by the explicit
simplify_Amn = TRUE rows.
| Case | Frequency set (kHz) | Max abs. \Delta TS (dB) | Mean abs. \Delta TS (dB) | t_\text{acousticTS} (s) | t_\text{Prol\_Spheroid} (s) |
|---|---|---|---|---|---|
benchmark broadside, double, simplified, literal |
12, 18, 38, 70, 120, 200 |
2.19518 |
0.59593 |
0.13 |
89.93 |
benchmark broadside, double, simplified, adaptive |
12, 18, 38, 70, 120, 200 |
2.19518 |
0.59593 |
0.14 |
89.93 |
benchmark broadside, quad, simplified, literal |
12, 18, 38, 70, 120, 200 |
0.13946 |
0.04163 |
3.04 |
89.93 |
benchmark broadside, quad, simplified, adaptive |
12, 18, 38, 70, 120, 200 |
0.13946 |
0.04163 |
3.21 |
89.93 |
Accessing results
## frequency f_bs sigma_bs TS
## 1 38000 -8.946062e-05-0.01218687i 0.0001531304 -76.29877
## 2 46000 -2.192256e-04-0.02005001i 0.0002081249 -73.63352
## 3 54000 -4.465195e-04-0.02953222i 0.0002611520 -71.66213
## 4 62000 -8.006501e-04-0.04005366i 0.0003085167 -70.21443
## 5 70000 -1.298529e-03-0.05066399i 0.0003456888 -69.22629
## 6 78000 -1.928321e-03-0.06024267i 0.0003689549 -68.66053
Comparing fluid-filled and rigid boundaries
The boundary condition changes the coefficient solve without changing the outer geometry, so it is a straightforward first comparison when checking whether a prolate spheroid is being parameterized consistently.

This comparison is useful because it isolates one of the main PSMS decisions without changing the geometric idealization. If the rigid and fluid-filled curves differ substantially, that is not a sign of inconsistency by itself. It is evidence that the boundary physics is materially affecting the prolate-spheroidal response, which is exactly the kind of sensitivity the model is meant to expose.
For practical PSMS work, the first controls to revisit are usually:
- the boundary condition, because it changes the coefficient problem fundamentally,
- the orientation arguments such as
phi_body, because spheroidal geometry is anisotropic, -
adaptive, because it controls whether the hard truncation limits are treated as literal caps or as upper bounds for early tail stopping, -
n_integration, because the overlap integrals must be resolved accurately whenever they are actually formed, and -
simplify_Amnandprecision, because they affect the stability and cost of the fluid-filled solve.
Those are the settings to revisit first when a spectrum appears unexpectedly noisy, unexpectedly sensitive, or unexpectedly expensive to evaluate.

